MATRICES EJERCICIOS RESUELTOS DE MATEMÁTICAS PDF
JCN1415 2º de Bachillerato Matrices y Determinantes. Ejercicios resueltos.

👉 Si pronto tienes examen mira este vídeo Ejercicios clásicos de examen Ejercicios de matrices 2 bachillerato resueltos de exámenes de selectividad ebau ev.
JCN1415 2º de Bachillerato Matrices y Determinantes. Ejercicios resueltos.

Ecuaciones matriciales resueltas paso a paso matemáticas 2 bachillerato y universidad , ejercicios resueltos en tres pasos y aplicando las propiedades de las.
DETERMINANTES MATEMÁTICAS 2 BACHILLERATO EJERCICIOS RESUELTOS PDF
.gif)
Soluciones - Matrices 2 Bachillerato Matemáticas 2023 / 2024 [PDF] Actividades resueltas, resúmenes, soluciones, ejemplos y ejercicios resueltos de Matrices para 2 de Bachillerato Matemáticas. Descarga o abre el documento PDF online en nuestra web. Contenidos ocultar.
Jcn1516 1º de Bachillerato Ejercicios resueltos de límites.

Matrices 2 bachillerato ejercicios resueltos de examenes , pau ebau , evau , selectividad . Problemas resueltos paso a paso inversas multiplicacion , con inc.
10 ideas de Cosas que sirven disenos de unas, impresora para uñas, uñas de bricolaje
.gif)
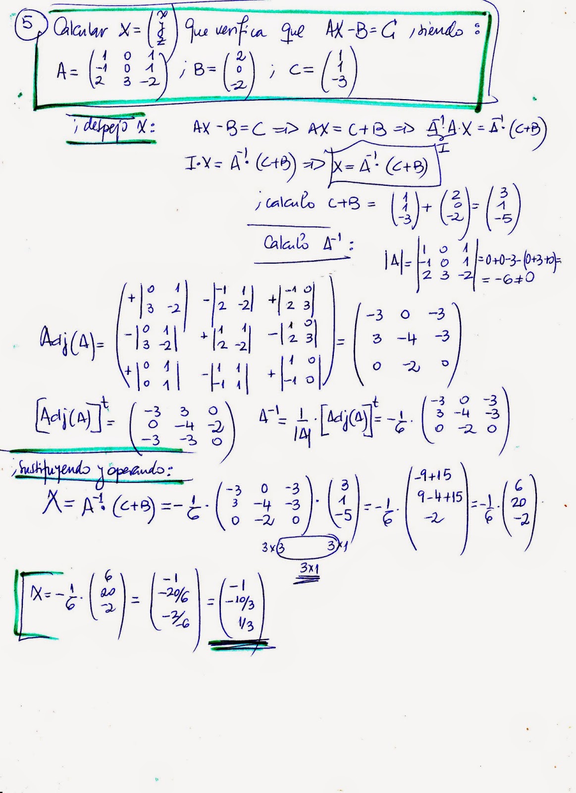
EJERCICIOS RESUELTOS - Matrices, Determinantes y Sistemas. Matrices, Determinantes y Sistemas - 2º Bach. Ciencias. Dada la matriz , calcula los Adjuntos y. b) Halla el rango de A usando uno cualquiera de los siguientes métodos: Gauss ó determinantes. Dado el siguiente sistema de ecuaciones: Dado el sistema. a) Discute el sistema en función.
JCN1415 2º de Bachillerato Matrices y Determinantes. Ejercicios resueltos.

Ejercicio 2: a) ¿Son guales las matrices 2 3 A §· ¨¸ ©¹ y B 23 ? b) Halla, si es posible, las matrices B, t Sol: a) Obviamente no, pues la matriz A tiene dimensión 2x1 y la matriz B tiene dimensión 1x2. b) 3 6 9 AB · ¸ ¹; 3 2 3 BA §· ¨¸ ©¹; AB "no se puede realizar pues no tiene la misma dimensión" ABt 0 T Ejercicio 3.
MATRICES EJERCICIOS RESUELTOS Y PARA RESOLVER PDF
.gif)
MATRICES . Ejercicio nº 1.- Ejercicio nº 2.- Dadas las matrices: b) Halla una matriz, X, tal que AX = B. Ejercicio nº 3.- Resuelve el siguiente sistema matricial: Ejercicio nº 4.- Calcula los valores de x para que la matriz: verifique la ecuación A2 − 6A + 9l = 0, donde l y O son, respectivamente, las matrices identidad y nula de orden tres.
Estadistica 2 Bachillerato Pdf Ejercicios

Si pronto tienes examen de 2 bachillerato MATRICES esta es tu página. Vamos a recopilar todos los ejercicios que hemos resuelto en vídeo , de diferentes exámenes , Selectividad , EBAU , EVAU . Muy Intesante : Los ejercicios marcados cómo clásicos de examen , no te los puedes perder , que por algo son clásicos de examen.
Tema 2 Matrices Matemáticas II 2º Bachillerato 1

Matemáticas II (Bachillerato de Ciencias). Soluciones de los problemas propuestos. Tema 1 1 www.matematicasjmmm.com José María Martínez Mediano TEMA 1. Matrices Problemas Resueltos Operaciones con matrices 1. Dadas − = 1 7 2 3 A, − − = 4 9 5 2 B y.
MATRICES EJERCICIOS RESUELTOS Y PARA RESOLVER PDF
.gif)
2º DE BACHILLERATO Matrices (Ejercicios) Colegio San Agustín (Santander) Página 2 MATRICES 2) Escribe la matriz A de dimensiones 3x4 tal que sus elementos aij verifiquen que: aij = 2i -5j A ij = 2 −5 a 11 = 2∙1−5∙1= −3 a 12 = 2∙1−5∙2= -8 a 13 = 2∙1−5∙3= -13 a 14
Soluciones Matrices 2 Bachillerato Matemáticas 2023 / 2024 [PDF]

Microsoft Word - 2. ejercicios matrices.docx. Explicar, razonadamente, cómo se obtendría con ellas la matriz que refleja los costes totales de cada proveedor en cada cuatrimestre. Razonar, a partir de la matriz anterior, cuál es el proveedor más rentable en un año. Operaciones con datos en grafos:
Matriz Inversa Ejercicios Resueltos

Operaciones básicas con matrices. Realiza la siguiente demostración. n-ésima potencia de la matriz. Matriz inversa. Sistema de ecuaciones con matrices. Análisis de problemas usando matrices. Rango de una matriz. Ecuaciones de una incógnita en matrices. De un sistema de ecuaciones a una matriz.
Ejercicios Matrices 2 Bachillerato Ccss PDF 2024

A 3 a 6 b ; B x 2 y 0 . Solución: Para que dos matrices sean iguales deben tener la misma dimensión, requisito que cumplen A y B. Además, han de ser iguales los términos que ocupan la misma posición. Por tanto debe ser x = 3, a = 2, y = 6, b = 0.
Ejercicios Resueltos Matrices 2 Bachillerato Pdf 】 2024

Vídeos con el fin de que cualquier persona pueda empezar desde cero con el temario de matrices.Explicaré uno a uno todos los conceptos necesarios para llevar.
2 Bachillerato Examenes, problemas y Ejercicios

Aplicación de las operaciones con matrices como instrumento para el tratamiento de situaciones que manejen datos estructurados en forma de tablas. Representar e interpretar tablas de números. Operaciones. Suma y resta de matrices. Producto de un número por una matriz. Incrementos compuestos. Producto de matrices.
DETERMINANTES MATEMÁTICAS 2 BACHILLERATO EJERCICIOS RESUELTOS PDF
.gif)
Ejercicios resueltos matrices y sistemas. 2 bachillerato ciencias. Asignatura: Matematicas (2276001) 288 Documentos.. T09-autoeval-2 - Ejercicios. Matematicas 100% (1) Más de: Matematicas 2276001. Universidad Rey Juan Carlos. 288 Documentos. Ir al curso. 4. Raíces cuadradas simples y complejas.
.